Dado que el movimiento es inhereiite a las máquiras, las velocidades y aceleraciones son muy importantes tanto en el disefío como er el arálisis de los comporertes de las máquinas.
Velocidad es la relación entre el cambio de posición de un punto y el tiempo invertido en tal cambio. bado su carácter de magnitud dirigida, resulta tener las propiedades inherentes a un vector.
La velocidad de un punto puede ser absoluta o relativa, según que se refiera a un punto o sistema fijo, en el primer caso; o a un punto o sistema móvil, en el segundo. No es necesario que los sistemas de referencia estén completamente en reposo, ya que esto ocurrirá muy pocas veces para determinar una velocidad absoluta. Si los puntos que se suponen fijos de un mecanismo, generalmente unidos a una estructura o armazón, se mueve porque la estructura lo hace, pueden considerarse absolutas las velocidades de los puntos móviles del mecanismo con relación a sus puntos fijos. Las velocidades, como ha quedado dicho, son magnitudes vectoriales, y por ello, sometidas a sus conocidas reglas de adición y sustracción.
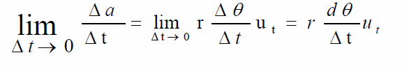
El desplazamiento efectuado por el punto A se mide por el vector Δr, que como se ve, es Δr = r’ - r y se admitirá que se trata de un desplazamiento elemental, lo que equivale a considerar que el ángulo Δθ es muy pequeño. A la vista de
Δa + Δb = Δr
Donde los vectores Δa e Δb están indicados en el dibujo de la figura
Cuando Δθ → O, el ángulo α que forman los vectores Δα e Δb tiende a π /2
donde Δt = t2 - t1. Ahora puede ponerse que
Ya que el límite la cuerda AB y el arco AB, cuando Δθ tiende a cero, son ambos iguales. A la relación (dθ/dt) se denomina velocidad angular y su unidad en todos los sistemas es el rad/s y se suele utilizar la letra griega θ para su designación. Por su parte, Ut es un vector unitario perpendicular a r.
En esta sección se realizará un análisis del vector velocidad observando las propiedades de sus componentes.
Sea un cuadrilátero articulado ABCD, mostrado en la figura B, tal que la manivela de entrada o impulsora AB (eslabón 1) gira con velocidad angular θ1. El punto B tendrá una velocidad tangencial dad por:
y que será perpendicular al eslabón AB. Esta velocidad puede descomponerse en V´BC
y V``BC, de modo que tales componentes sean respectivamente de la dirección del
acoplador BC (eslabón 2) y normal a éste. Es decir:

La determinación de la velocidad del punto E del acoplador puede hallarse de forma parecida. Descompóngase VB en dos componentes: una de la dirección BE y la otra normal a ella. La componente V´BE se traslada a E, ya que V´EB = V´BE, por ser BE indeformable (el mismo eslabón 2).
De igual manera, de la velocidad VC se encuentra la componente V´CE paralela a la dirección CE y se traslada al punto E. La velocidad absoluta del punto, VE, se encontrará en la intersección de las dos perpendiculares por los extremos de los vectores V’EC y V’EB, respectivamente a EC y EB. Como práctica podemos intentar averiguar la a velocidad del punto E (Fig. B).
Según las construcciones realizadas en los diversos eslabones, se llegará a la conclusión que en una misma barra la velocidad de un punto cualquiera (por ejemplo, el C) relativa a otro punto de su propio eslabones (por ejemplo, el B) es siempre perpendicular al segmento que une dichos puntos (en este caso, normal a BC).
Aislando el eslabón BC con las velocidades obtenidas anteriormente VB y VC (Fig. C) se transporta a C el vector VB. Como la proyección sobre BC de ambas velocidades ha de ser la misma, se llega al resultado que la diferencia de estos dos vectores ha de ser normal a la recta que une los dos puntos. Si se denomina velocidad de B respecto a C mediante la notación VCB, se tiene:

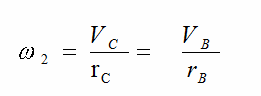
La velocidad angular θ2, con que el eslabón 2 está girando con relación al fijo 4, se obtiene siempre dividiendo el módulo de la velocidad relativa de un punto extremo de la barra con relación al del otro extremo, por las distancia entre ambos puntos.
Tal como se observa en la Fig. C, ω2 es del sentido de la agujas del reloj tal como se desprende de los sentidos de las velocidades relativas VBC ó VCB y, por lo dicho, su módulo es:


De igual modo se puede deducir la velocidad angular de cualquier eslabón del mecanismo.
CENTRO INSTANTÁNEO DE ROTACIÓN
Tal como sugirió Reuleaux a mediados del siglo XIX, los eslabones se pueden considerar que en cada instante realizan un giro alrededor de un centro. Dicho centro se llama centro instantáreo de rotació o polo de velocidades. Cuando un eslabón está efectuardo una traslación en un momento dado, su centro instantáneo de rotación se encuentra en el infinito y en una dirección perpendicular al movimiento del eslabón. Esto se denota fácilmente porque las velocidades de todos sus puntos son iguales y sus vectores paralelos.
Imagínese un cuadrilátero articulado ABCb (Fig. D), donde se han determinado las velocidades VB y VC, tal como se describió en la sección anterior.
El eslabón 1 tiene un punto A fijo, luego el centro instantáneo de rotación del eslabón 1, con relación al eslabón fijo 4 se indicará por la notación P14 y se confunde con el punto A. Análogamente ocurre con el eslabón 3, y será P3D.
Por su parte, el punto B es la articulación de los eslabones 2 y 1; luego P12 = B. Por la misma razón P23 coincide con el punto C.
Debe observarse que, cuando se determina el centro instantáneo de rotación con relación al eslabón fijo 4, las velocidades de sus puntos son normales a los radios considerados. Así VB es normal a BA y VC lo es a CD.
Para hallar el centro instantáneo de rotación del eslabón 2 con relación al eslabón fijo 4, bastará trazar por B y C sendas rectas perpendiculares a las velocidades en tales puntos y su intersección proporcionará el punto P24. El eslabón 2 es como si en la posición mostrada en la Fig. D estuviera girando alrededor del punto P24.
Si por el punto C se llevan las velocidades VC y VB se tiene un triárgulo CFE que es semejante al P24BC (por terer sus lados homólogos ortogonales) y, por lo tanto, se puede escribir que:


El punto P24 centro instantáneo de rotación del eslabón 2 con relación al eslabón 4, tiene la misma velocidad por ambos eslabones y por lo tanto, por ser fijo el eslabón 4, resulta que el punto P24 no se mueve. Lo mismo ocurre respecto a coincidencia de velocidades con los restantes centros encontrados y siempre estos puntos representan la superposición de otros dos, uno de cada eslabón. Tales puntos tienen gran utilidad para la localización de velocidades de otros puntos, pero ha de tenerse en cuenta que tales polos de velocidades solo pueden emplearse en una concreta posición del mecanismo, ya que un instante después estos puntos pueden ser sustituidos por otros distintos, y de hecho generalmente lo son.
Por último, resta encontrar el centro de rotación del eslabón 3 con relación al eslabón 1. Para determinarlo se supondrá realizada una inversión del mecanismo de la Fig. D admitiéndose que el eslabón 1 es fijo; esto es, los puntos A y B son las articulaciones unidas al bastidor del mecanismo.
Si B y A fuesen fijos, los puntos C y D tendrían velocidades normales, respectivamente, a BC y AD, y sus rectas perpendiculares CB y AD se cortarían en el punto P31 que es el centro instantáneo de rotación buscado.
El rúmero de centros instantaneos existentes en un mecanismo con n barras o eslabores veiidrá dado por la expresión:

Hay una regla práctica para la localización de centros instantáneos. Obsérvese en la Fig. D que están alineados los cuatro grupos siguientes de puntos para un cuadrilátero articulado:

Conocidos 2 de los tres puntos de una alineación es posible encontrar al tercero, ya que ha de estar alineado con los dos anteriores. Esta propiedad se denomina regla de los tres centros o Teorema de Aronhold-Kennedy que dice:
“Cuando tres cuerpos cualesquiera tienen movimiento relativos plano sus tres centros instantáneos (o centros de rotación relativa), están en línea recta”
De otra forma podemos decir que en todo mecanismo cada grupo de tres eslabones con tres centros con “parentesco” entre sí están situados sobre una misma recta.
Para demostrarlo, fijémonos en la figura E en la que representamos tres cuerpos designados con los números 1,2 y 3, cada uno de ellos con movimiento plano. Si suponemos que el cuerpo 1 es estacionarlo y el 2 y 3 están articulados a este, las articulaciones 12 y 13 serán centros puesto que en ambos casos. La velocidad lineal absoluta es la misma, en este caso cero. Supongamos que el tercer centro el 23 estuviese en la posición del punto A. Es evidente que en esta posición coinciden dos puntos, uno de cada eslabón y cada uno de ellos tiene una velocidad lineal absoluta. Pero veamos como son dichas velocidades. Hemos supuesto que el eslabón 2 gire al rededor del punto 1, luego la velocidad del punto A como perteneciente a 2 será perpendicular al radio 12-A. Así mismo la velocidad lineal de A como perteneciente al eslabón 3 será perpendicular al radio 13-A, puesto que dicho eslabón gira alrededor de 13. Independientemente de cual sea su magnitud -que podría ser igual- está claro que las direcciones de ambas velocidades no coinciden, luego el punto A no puede ser centro de 23. Prescindiendo de magnitud, lo que queda claro es que para que las direcciones de la velocidad del punto A con perteneciente al eslabón 2 y al 3 coincidan, dicho punto A tiene que estar situado en la recta 12- 13 como queríamos demostrar.
Análisis de
Cuando se conocen los centros instantáneos de rotación de un mecanismo resulta inmediato determinar la velocidad de cualquier punto del mismo, sin necesidad de calcular primero las velocidades de otros puntos. Con el método de los CIR, no es necesario calcular la velocidad de un punto que una físicamente dos barras, sino que calculando la velocidad del CIR relativo de dos eslabones podemos considerar que conocemos la velocidad de un punto que pertenece indistintamente a cualquiera de los dos eslabones.
Es importante resaltar que el CIR se comporta como si perteneciera simultáneamente a ambos eslabones, por tanto su velocidad debe ser la misma si la obtenemos en base a uno u otro eslabón.
Para calcular las velocidades por CIR seguiremos los pasos siguientes:
1. Identificar los eslabones a los que pertenecen:
a) El punto de velocidad conocida.
b) El punto de velocidad desconocida.
c) El eslabón de referencia o barra fija.
2. Se hallan los tres CIR relativos correspondientes a las barras, que estarán en línea recta según nos indica el Teorema de Kennedy.
3. Se calcula la velocidad del CIR relativo de los dos eslabones no fijos, considerándolo como un punto perteneciente a la barra de velocidad conocida.
4. Se considera la velocidad hallada como la de un punto del eslabón cuya velocidad queremos hallar. Conociendo la velocidad de un punto del eslabón (CIR) y su centro de giro podemos encontrar la de cualquier otro punto del mismo.
• Aplicación de los CIR a un mecanismo de cuatro barras.
• Aplicación de los CIR a un mecanismo de biela - manivela.
Polígono de Velocidades
Uno de los medios más eficaces y rápidos para el análisis de las velocidades de un mecanismo lo ofrece el polígono de velocidades. Además, como se verá en el siguiente capítulo, este método proporciona datos fundamentales para el análisis de la aceleración, como son las velocidades relativas.
La construcción de velocidades de forma gráfica realmente se funda en la ecuación vectorial
Ecuacion 1
En la Fig. F puede verse un mecanismo de 4 barras con un punto E de acoplador y se pretende encontrar las velocidades de los puntos C y E, así como las velocidades relativas de los puntos B, C y E, partiendo de la velocidad VB.
a) Cálculo de VC, VCB, ω2 y ω3.
La ecuación (1)se escribirá para este caso mediante
Ecuacion 2
La velocidad angular ω2 se obtiene por aplicación de la expresión:


Encuacion 3
VE = VC + VEC
Encuacion 4
de las cuales son vectores conocidos VB y VC y de los vectores VEB y VEC son también datos sus direcciones (por ser ortogonales respectivamente a las EB y EC). Del vector VE no se conoce ni dirección ni módulo.

Por el extremo del vector VB se traza una perpendicular a BE (dirección de VEB) y por el extremo del vector VC se construye una recta normal a CE (soporte de la velocidad VEC). Donde ambas rectas se encuentran (punto E’) se obtiene el extremo del vector VE buscando. Los restantes vectores, VEB y VEC, formar los triángulos correspondientes en los polígonos de velocidades para que se verifiquen las relaciones (ecuaciones 3 y 4), como puede comprobar el lector.
El triárgulo E’B’C’ es semejarte al EBC del acoplador, tal como se evidencia de forma inmediata, ya que ambas figuras tienen sus lados respectivos perpendiculares entre sí. Esta propiedad general tiene interesantes aplicaciones en el análisis gráfico de velocidades.
0 comentarios:
Publicar un comentario